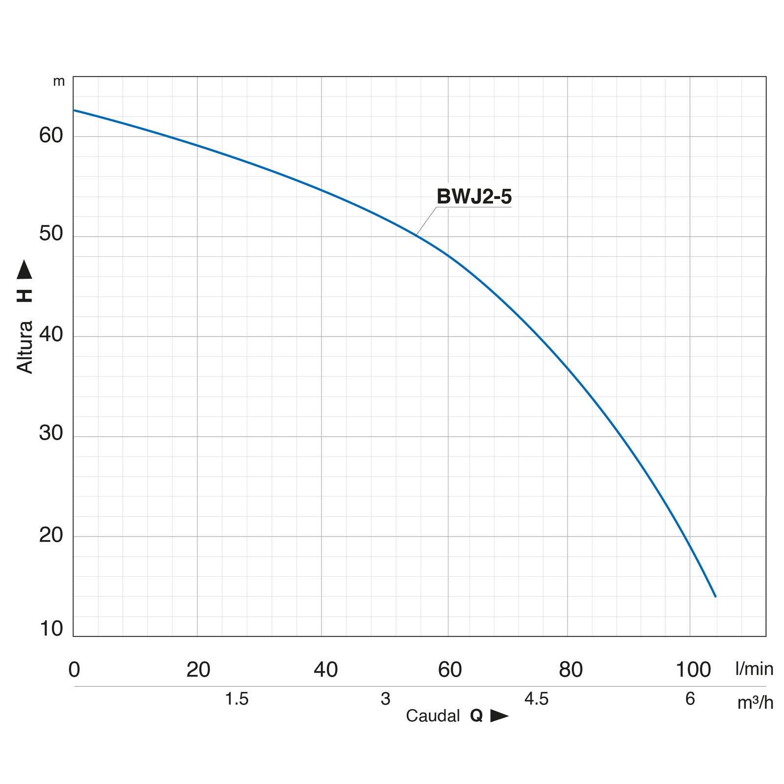
La Bomba Horizontal Multitazones Shimge BWJ2-5 de 1½ HP es el modelo de mayor presión de la línea BWJ2 con 63 metros de altura máxima. Cabeza e impulsor en acero inoxidable. Motor con protección térmica.
Motor embobinado 100% cobre. Para agua limpia libre de sólidos.
Características principales:
Aplicaciones: Presurización a presión constante en instalaciones de alta demanda que requieren la mayor altura de la línea.
Bomba Multitazones Shimge BWJ2-5 | 1½ HP | 1100 W | Motor 127V 60Hz 1F | Altura máxima 63 m | Rango 27–59 m | Caudal 10–65 L/min | Conexiones 1″ NPT | Peso 17 kg
| Modelo | BWJ2-5 |
| Clave | 2307 |
| HP | 1.5 HP |
| Watts | 1100 W |
| Voltaje | 127V~ 60Hz 1F |
| Altura máxima | 63 m |
| Caudal máximo | 65 l/min |
| Rango de operación | 59 ÷ 27 m / 10 ÷ 65 l/min |
| Conexiones | SUCC: 1” NPT / DESC: 1” NPT |
| Medidas (cm) | 43 × 17 × 15 |
| Peso | 17.0 kg |




Contáctanos