El Conjunto Motor Bomba Shimge SH500 de 1 HP es el modelo de mayor capacidad de la línea SH centrífuga. Impulsor de bronce de alta resistencia y motor embobinado en cobre 100%.
Succión máxima 7 metros. Conexiones 1″ NPT.
Características principales:
Aplicaciones: Bombeo y suministro de agua limpia en instalaciones de alta demanda.
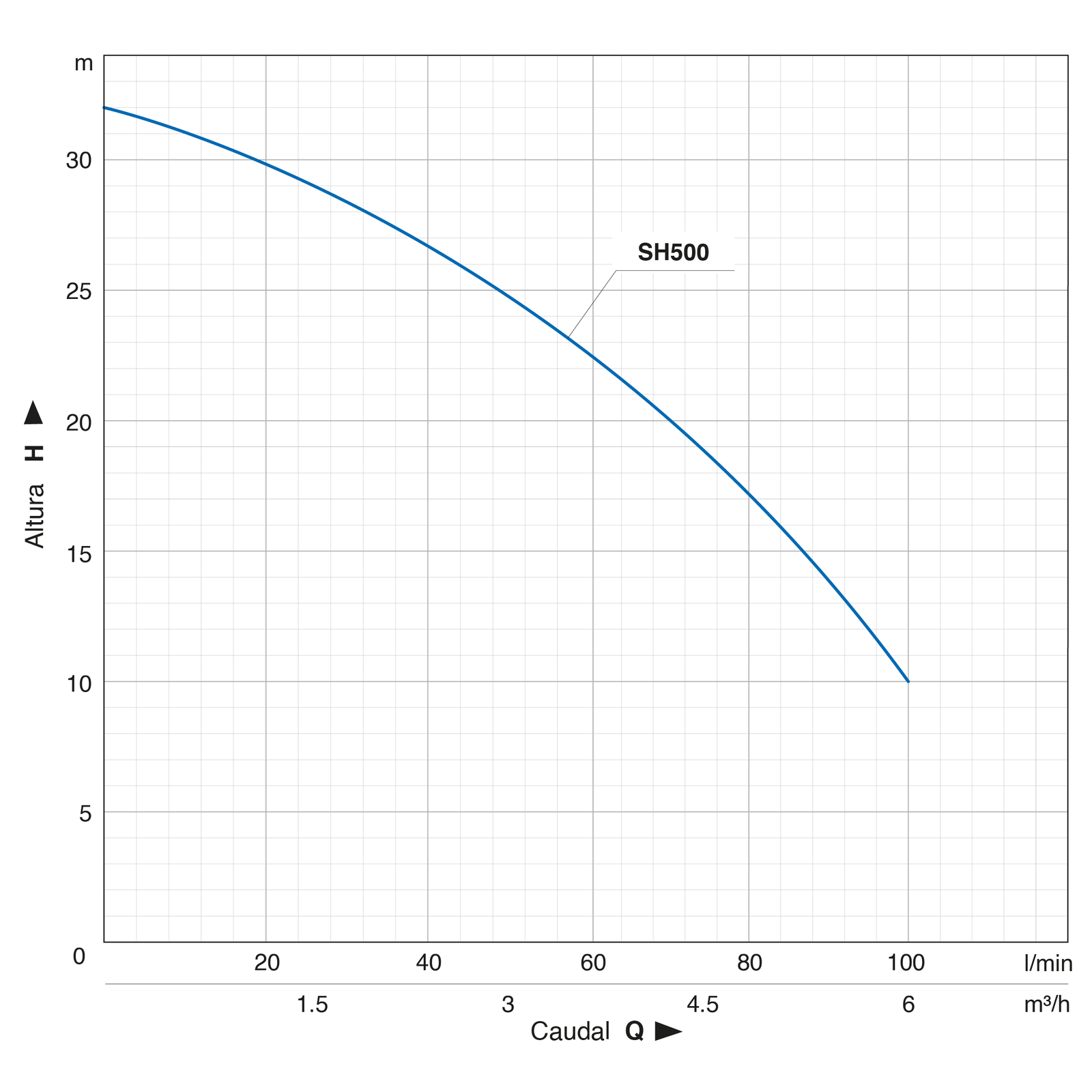
Conjunto Motor Bomba Shimge SH500 | 1 HP | 750 W | Motor 127V 60Hz 1F | Altura máxima 32 m | Rango 10–30 m | Caudal 17–100 L/min | Conexiones 1″ NPT | Peso 13kg
| Modelo | SH500 |
| Clave | 2503 |
| HP | 1 HP |
| Watts | 750 W |
| Voltaje | 127V~ 60Hz 1F |
| Altura máxima | 32 m |
| Rango de operación | 30 ÷ 10 m / 17 ÷ 100 l/min |
| Clase IP | SUCC: 1” NPT / DESC: 1” NPT |
| Medidas (cm) | 30 × 28 × 23 |
| Peso | 13 Kg |




Contáctanos