La Bomba Horizontal Multitazones Shimge BWJ2-2 de ¾ HP tiene cabeza de acero inoxidable e impulsor en acero inoxidable para presurización a presión constante. Motor con protección térmica y embobinado 100% cobre.
Para agua limpia libre de sólidos. Uso residencial e industrial.
Características principales:
Aplicaciones: Presurización a presión constante en instalaciones residenciales e industriales.
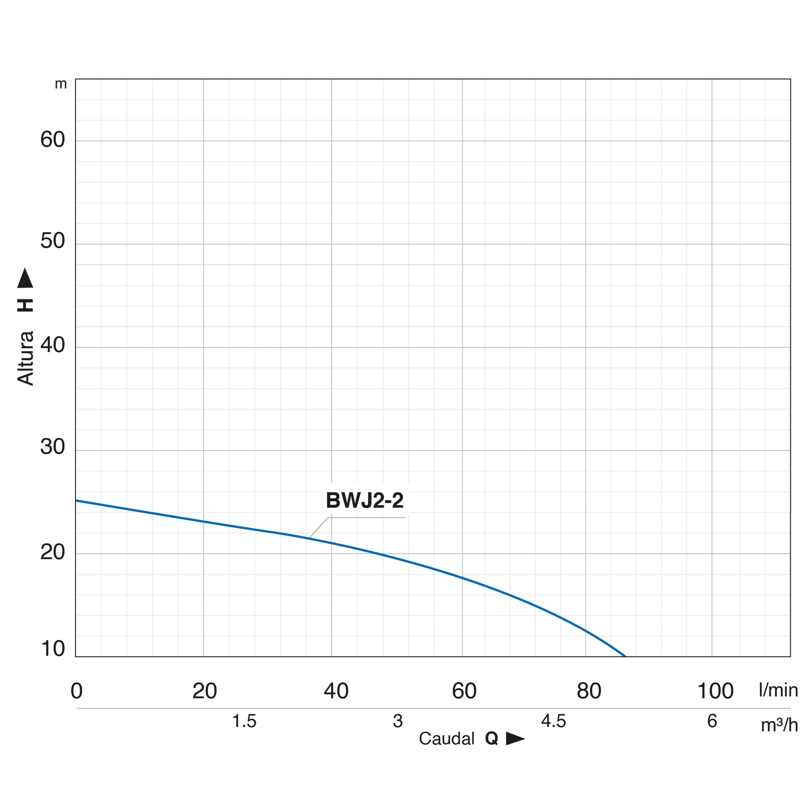
Bomba Multitazones Shimge BWJ2-2 | ¾ HP | 550 W | Motor 127V 60Hz 1F | Altura máxima 26 m | Rango 11–23 m | Caudal 10–65 L/min | Conexiones 1″ NPT | Peso 15 kg
| Modelo | BWJ2-2 |
| Clave | 2301 |
| HP | 3/4 HP |
| Watts | 550 W |
| Voltaje | 127V~ 60Hz 1F |
| Altura máxima | 26 m |
| Caudal máximo | 65 l/min |
| Rango de operación | 23 ÷ 11 m / 10 ÷ 65 l/min |
| Conexiones | SUCC: 1” NPT / DESC: 1” NPT |
| Medidas (cm) | 30 × 13.5 × 21 |
| Peso | 15.0 kg |




Contáctanos